Tobramycin
Tobramycin ist ein Wirkstoff aus der Gruppe der Aminoglykoside und wird zur Behandlung bakteriellen Infektionen wenn andere Antibiotika nicht wirken oder nicht eingesetzt werden dürfen angewandt.
Tobramycin: Übersicht

Anwendung
Der Wirkstoff Tobramycin wird systemisch erst dann angewendet, wenn andere Antibiotika bei bakteriellen Infektionen nicht wirken oder nicht eingesetzt werden dürfen. Indikationen sind dann beispielsweise schwere Lugenentzündungen, Rezidive von Atemwegsinfektionen bei zystischer Fibrose, komplizierte Harnwegsinfekte, Bauchrauminfektionen, Infektionen von Haut, Muskeln, Knorpeln, Gelenken, Knochen und Sehnen sowie Verbrennungen.
In der Therapie von Mukoviszidose bei Kindern ab 6 Jahren wird Tobramycin als Inhalation angewendet, weil das Antibiotikum eine besonders gute Wirksamkeit gegen das Bakterium Pseudomonas aeruginosa entfaltet. Dieser Keim verursacht bei Mukoviszidose häufig schwere chronische Lungenentzündungen.
In der Augenheilkunde wird Tobramycin gegen bakteriell bedingte Bindehautentzündungen (Konjunktivitis), Hornhautentzündungen (Keratitis) und Lidentzündungen (Blepharitis) angewendet.
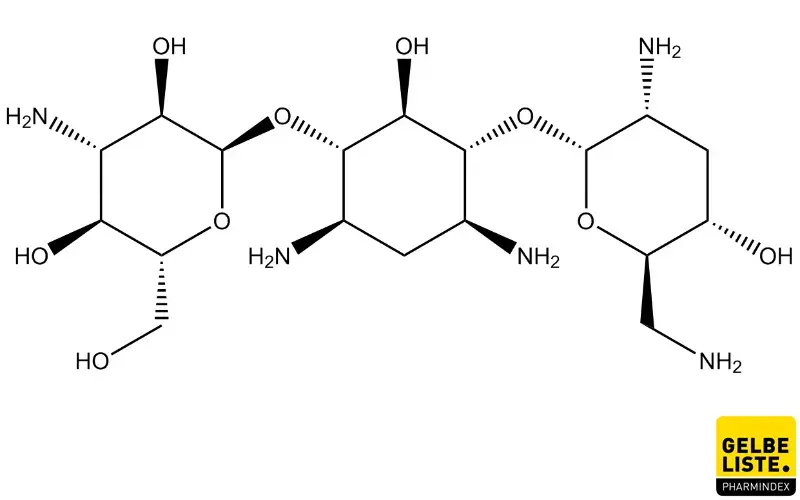
Wirkmechanismus
Tobramycin ist ein Antibiotikum aus der Wirkstoffgruppe der Aminoglykoside. Die Substanz wird vom Schimmelpilz Streptomyces tenebrarius produziert. Die bakterizide Wirkung von Tobramycin entsteht durch eine Hemmung der bakteriellen Proteinsynthese. Der Wirkstoff bindet an die 30S-Untereinheit der Ribosomen und verhindert damit die Übertragung von notwendigen Erbinformationen. In der Folge bilden vor allem gramnegative Bakterien defekte Zellwände aus, die allmählich zum Untergang der Erreger führen.

Pharmakokinetik
Resorption und Verteilung
- Nach oraler Gabe wird nur ein minimaler Anteil (0,3–0,5%) des Wirkstoffs systemisch im Urin nachgewiesen.
- Bei Mukoviszidose-Patienten beträgt die Bioverfügbarkeit nach Vernebelung etwa 9,1% der verabreichten Dosis.
- Die systemische Resorption bei Aerosolinhalation ist sehr gering; ca. 10% des Arzneimittels lagert sich in der Lunge ab, während die restlichen 90% im Vernebler verbleiben, im Mund-Rachen-Bereich abgeschieden und geschluckt oder ausgeatmet werden.
Sputumkonzentrationen
- Zehn Minuten nach Inhalation einer 300 mg-Dosis liegt die durchschnittliche Tobramycin-Konzentration im Sputum bei 695,6 µg/g, mit einer hohen Schwankungsbreite (36 bis 2.638 µg/g).
- Nach 20 Wochen Behandlung sind die Sputumkonzentrationen im Durchschnitt ähnlich hoch (716,9 µg/g).
- Zwei Stunden nach Inhalation sinkt die Konzentration im Sputum auf etwa 14% des Werts, der 10 Minuten nach Inhalation gemessen wurde.
Serumkonzentrationen
- Die mediane Serumkonzentration 1 Stunde nach Inhalation einer 300 mg-Dosis beträgt bei Mukoviszidose-Patienten 0,68 µg/ml (Spanne: 0,06–1,89 µg/ml).
- Nach 20 Wochen Therapie liegt die mediane Serumkonzentration 1 Stunde nach Verabreichung bei 1,05 µg/ml (Spanne: unter der Nachweisgrenze bis 3,41 µg/ml).
Elimination
- Die Ausscheidung nach Inhalation wurde nicht direkt untersucht, aber systemisch aufgenommenes Tobramycin wird vorwiegend über die Nieren (glomeruläre Filtration) ausgeschieden.
- Die Eliminationshalbwertszeit im Serum beträgt etwa 2 Stunden.
- Weniger als 10% von Tobramycin sind an Plasmaproteine gebunden.
- Nicht resorbiertes Tobramycin wird vermutlich hauptsächlich im ausgeschiedenen Sputum entfernt.
Dosierung
Die Dosierung von Tobramycin variiert je nach Anwendungsform, Indikation sowie Alter und Gewicht des Patienten.
Systemische Anwendung (Injektion oder Infusion):
Erwachsene und Jugendliche mit normaler Nierenfunktion:
- Schwere Infektionen: 3 mg Tobramycin pro Kilogramm Körpergewicht (KG) pro Tag, verabreicht als Einzeldosis oder aufgeteilt in drei Dosen von 1 mg/kg alle 8 Stunden.
- Lebensbedrohliche Infektionen: Bis zu 5 mg/kg KG/Tag, verabreicht als Einzeldosis oder aufgeteilt in drei Dosen von 1,66 mg/kg alle 8 Stunden. Diese Dosierung sollte reduziert werden, sobald dies klinisch indiziert ist.
Kinder (älter als 1 Woche):
- 6–7,5 mg Tobramycin/kg KG/Tag, verabreicht als Einzeldosis oder aufgeteilt in Dosen von 2–2,5 mg/kg alle 8 Stunden oder fallweise 1,5-1,9 mg Tobramycin/kg KG alle 6 Stunden.
Inhalative Anwendung (bei Mukoviszidose):
Erwachsene und Kinder ab 6 Jahren:
- 300 mg Tobramycin zweimal täglich über einen Vernebler, für jeweils 28 Tage, gefolgt von 28 Tagen Behandlungspause.
Ophthalmologische Anwendung (Augentropfen und Augensalbe):
Erwachsene und Kinder:
- Ein Tropfen 0,3%ige Tobramycin-Lösung 2–3-mal täglich in das betroffene Auge. Bei schweren Infektionen kann die Dosierung auf einen Tropfen alle 4 Stunden erhöht werden.
Hinweis: Die genaue Dosierung muss individuell vom Arzt festgelegt werden, da Faktoren wie Nierenfunktion, Schwere der Infektion und Therapiedauer die Dosis beeinflussen können.
Nebenwirkungen
Die Nebenwirkungen von Tobramycin sind für alle Darreichungsformen vielfältig und können sehr schwerwiegend sein. Deshalb wird der Wirkstoff in der Regel nur dann angewendet, wenn es keine Alternative gibt. Zu den schweren unerwünschten Effekten von Tobramycin gehören Schädigungen des Innenohres bis hin zum Hörverlust oder Nierenfunktionsstörungen bis hin zur Niereninsuffizienz. Die vollständigen Nebenwirkungen von Tobramycin entnehmen Sie bitte den Fachinformationen für die jeweiligen Präparate.
Wechselwirkungen
Folgende Wechselwirkungen sind bei der Anwendung von Tobramycin zu beachten:
- Nephrotoxische und ototoxische Arzneimittel: Die Kombination mit anderen Medikamenten, die die Nieren oder das Gehör schädigen können, sollte vermieden werden, um das Risiko toxischer Nebenwirkungen zu verringern.
- Diuretika: Einige Diuretika, wie Furosemid und Etacrynsäure, können die Toxizität von Tobramycin verstärken, indem sie die Konzentration des Antibiotikums im Blut und in den Geweben beeinflussen.
- Weitere nephrotoxische und ototoxische Substanzen: Medikamente wie Amphotericin B, Ciclosporin, Tacrolimus und Platinverbindungen erhöhen das Risiko für Nieren- und Gehörschäden und sollten daher möglichst nicht zusammen mit Tobramycin eingesetzt werden.
- Neuromuskulär wirksame Substanzen: Anticholinesterasen und Botulinumtoxin sollten vermieden werden, da sie die Wirkung auf die neuromuskuläre Funktion beeinflussen können und das Risiko einer verstärkten Muskelschwäche besteht.
- Weitere Begleitmedikationen: Studien zeigten, dass unerwünschte Ereignisse bei gleichzeitiger Anwendung von Mukolytika, Beta-Agonisten, inhalativen Kortikosteroiden und anderen Antipseudomonas-Antibiotika auftreten können.
Kontraindikationen
Tobramycin darf nicht angewendet werden bei:
- Überempfindlichkeit: Überempfindlichkeit gegenüber Tobramycin, anderen Aminoglykosiden oder einem der weiteren Bestandteile des Arzneimittels.
- Einnahme stark wirksamer Diuretika: Gleichzeitige Anwendung von stark wirksamen Diuretika wie Furosemid oder Ethacrynsäure, die ein erhöhtes Risiko für ototoxische Nebenwirkungen bergen.
Schwangerschaft
Es gibt keine ausreichenden Daten zur Anwendung von Tobramycin bei Schwangeren. Tierstudien zeigen keine Hinweise auf Fehlbildungen durch Tobramycin, jedoch können hohe systemische Konzentrationen bei Schwangeren das Risiko für fetale Schäden, wie angeborene Taubheit, erhöhen. Frauen, die Tobramycin in der Schwangerschaft anwenden oder während der Therapie schwanger werden, sollten über mögliche Risiken für das Ungeborene informiert werden.
Stillzeit
Tobramycin geht bei systemischer Anwendung in die Muttermilch über. Ob inhalatives Tobramycin ähnliche Konzentrationen erreicht, ist unklar. Da es das Risiko für Hör- und Nierenschäden beim Säugling birgt, sollte abgewogen werden, ob das Stillen oder die Tobramycin-Therapie beendet wird.
Verkehrstüchtigkeit
Es wurden keine Studien zur Auswirkung auf die Verkehrstüchtigkeit und das Bedienen von Maschinen mit Tobramycin durchgeführt
Anwendungshinweise
Folgende Warnhinweise und Vorsichtsmaßnahmen sind bei der Anwendung von Tobramycin zu beachten:
- Nieren- und Hirnnervenfunktion: Patienten mit bekannten oder vermuteten Nierenproblemen oder Hirnnervenschäden sollten engmaschig überwacht werden. Tobramycin ist abzusetzen oder die Dosis anzupassen, wenn eine Verschlechterung eintritt.
- Serumkonzentration: Die Tobramycin-Konzentration sollte über Blutproben aus der Vene kontrolliert werden, um Verunreinigungen zu vermeiden, die bei Fingerstichproben auftreten können.
- Bronchospasmus: Nach Inhalation kann ein Bronchospasmus auftreten. Die erste Inhalation sollte unter ärztlicher Aufsicht erfolgen, eventuell unter Gabe eines Bronchodilatators.
- Neuromuskuläre Störungen: Bei Patienten mit neuromuskulären Erkrankungen wie Myasthenia gravis oder Parkinson-Krankheit ist Vorsicht geboten, da Tobramycin Muskelschwäche verstärken kann.
- Nephrotoxizität: Obwohl selten, sollte bei Nierenproblemen die Nierenfunktion regelmäßig überwacht werden. Die Dosierung ist bei Verschlechterung anzupassen oder abzusetzen.
- Ototoxizität: Tobramycin kann Hör- und Gleichgewichtsstörungen verursachen. Regelmäßige Hörprüfungen sind bei gefährdeten Patienten empfehlenswert, besonders bei Anzeichen wie Tinnitus.
- Hämoptoe: Bei schwerer Blutung in den Atemwegen sollte Tobramycin nur angewendet werden, wenn der Nutzen die Risiken überwiegt.
- Bakterienresistenz: Langfristige Anwendung kann die Resistenzentwicklung von Bakterien fördern, insbesondere bei Pseudomonas aeruginosa.
Wirkstoff-Informationen
-
Bramitob 300 mg/4 ml CC Pharma Lösung für einen Vernebler
CC Pharma GmbH
-
Bramitob 300 mg/4 ml kohlpharma Lösung für einen Vernebler
kohlpharma GmbH
-
BRAMITOB® 300 mg/4 ml Lösung für einen Vernebler
CHIESI GmbH
-
GERNEBCIN 40 mg/1 ml, Lösung zur Injektion, Infusion und Inhalation
InfectoPharm Arzneimittel u. Consilium GmbH
-
GERNEBCIN 80 mg/2 ml, Lösung zur Injektion, Infusion und Inhalation
InfectoPharm Arzneimittel u. Consilium GmbH
-
GERNEBCIN® 160 mg/2 ml Lösung zur Injektion, Infusion und Inhalation
InfectoPharm Arzneimittel u. Consilium GmbH
-
Tobi 300 mg/5 ml Abacus Lösung für einen Vernebler
Abacus Medicine A/S
-
Tobi 300 mg/5 ml BB Farma Lösung für einen Vernebler
BB Farma S.R.L.
-
Tobi 300 mg/5 ml Eurim Lösung für einen Vernebler
Eurim-Pharm Arzneimittel GmbH
-
Tobi 300 mg/5 ml kohlpharma Lösung für einen Vernebler
kohlpharma GmbH
-
TOBI 300 mg/5 ml Lösung für einen Vernebler
Viatris Healthcare GmbH
-
Tobi 300 mg/5 ml Orifarm Lösung für einen Vernebler
Orifarm GmbH
-
Tobi Podhaler 28 mg 101 Carefarm Hartkapseln mit Pulver zur Inhalation
1 0 1 Carefarm GmbH
-
Tobi Podhaler 28 mg Abacus Hartkapseln mit Pulver zur Inhalation
Abacus Medicine A/S
-
Tobi Podhaler 28 mg CC-Pharma Hartkapseln mit Pulver zur Inhalation
CC Pharma GmbH
-
Tobi Podhaler 28 mg Eurim Hartkapseln mit Pulver zur Inhalation
Eurim-Pharm Arzneimittel GmbH
-
Tobi Podhaler 28 mg European Hartkapseln mit Pulver zur Inhalation
European Pharma B.V.
-
Tobi Podhaler 28 mg Haemato Pharm Hartkapseln mit Pulver zur Inhalation
HAEMATO PHARM GmbH
-
TOBI Podhaler 28 mg Hartkapseln mit Pulver zur Inhalation
Viatris Healthcare GmbH
-
Tobi Podhaler 28 mg kohlpharma Hartkapseln mit Pulver zur Inhalation
kohlpharma GmbH
-
Tobi Podhaler 28 mg Orifarm Hartkapseln mit Pulver zur Inhalation
Orifarm GmbH
-
Tobi Podhaler 28 mg Originalis Hartkapseln mit Pulver zur Inhalation
Originalis B.V.
-
Tobi Podhaler 28 mg Paranova Hartkapseln mit Pulver zur Inhalation
Paranova Pack A/S
-
Tobradex 3mg/ml / 1 mg/ml Emra Augentropfensuspension
Emra-Med Arzneimittel GmbH
-
Tobradex 3mg/ml / 1 mg/ml Eurim Augentropfensuspension
Eurim-Pharm Arzneimittel GmbH
-
TOBRADEX® 3mg/ml / 1mg/ml Augentropfensuspension
Novartis Pharma GmbH
-
Tobradex 3mg/ml/1mg/ml Gerke Augentropfensuspension
Pharma Gerke Arzneimittelvertriebs GmbH
-
Tobradex 3mg/ml 1mg/ml kohlpharma Augentropfensuspension
kohlpharma GmbH
-
Tobramaxin® Augensalbe
Novartis Pharma GmbH
-
Tobramycin AL 300 mg/5 ml Lösung für einen Vernebler
ALIUD PHARMA® GmbH
-
Tobramycin Aristo 300 mg/5 ml Lösung für einen Vernebler
Aristo Pharma GmbH
-
Tobramycin SUN 300 mg Lösung für einen Vernebler
Sun Pharmaceuticals Germany GmbH
-
Tobramycin Teva 300 mg/5 ml 101 Carefarm Steri-Neb Lösung für einen Vernebler
1 0 1 Carefarm GmbH
-
Tobramycin Teva 300 mg/5 ml BB Farma Steri-Neb Lösung für einen Vernebler
BB Farma S.R.L.
-
Tobramycin Teva® 300 mg/5 ml Steri-Neb® Lösung für einen Vernebler
Teva GmbH
-
Tobramycin Zentiva 300 mg/5 ml Lösung für einen Vernebler
Zentiva Pharma GmbH
-
TobraZid® INFECTOPHARM 40 mg/1 ml, Injektions-/Infusionslösung
InfectoPharm Arzneimittel u. Consilium GmbH
-
TobraZid® INFECTOPHARM 80 mg/2 ml Injektions-/Infusionslösung
InfectoPharm Arzneimittel u. Consilium GmbH
-
Vantobra® 170 mg Lösung für einen Vernebler
Pari Pharma GmbH










