Adefovir
Adefovir gehört zur Wirkstoffgruppe der nukleotidischen Reverse-Transkriptase-Inhibitoren und wird angewendet zur Behandlung von chronischer Hepatitis B.
Adefovir: Übersicht

Anwendung
Der Wirkstoff Adefovir ist ein nukleotidischer Reverse-Transkriptase-Inhibitor, der für die Behandlung der chronischen Hepatitis B bei Erwachsenen indiziert ist mit:
- kompensierter Lebererkrankung mit nachgewiesener aktiver Virusreplikation, kontinuierlich erhöhten Serum-Alanin-Aminotransferase-(ALT)-Werten sowie histologischem Nachweis einer aktiven Leberentzündung und Fibrose. Die Einleitung einer Therapie sollte nur dann in Betracht gezogen werden, wenn ein alternativer antiviraler Wirkstoff mit einer höheren genetischen Resistenz-Barriere nicht verfügbar oder nicht geeignet ist.
- dekompensierter Lebererkrankung in Kombination mit einem zweiten Wirkstoff ohne Kreuzresistenz gegenüber Adefovir.
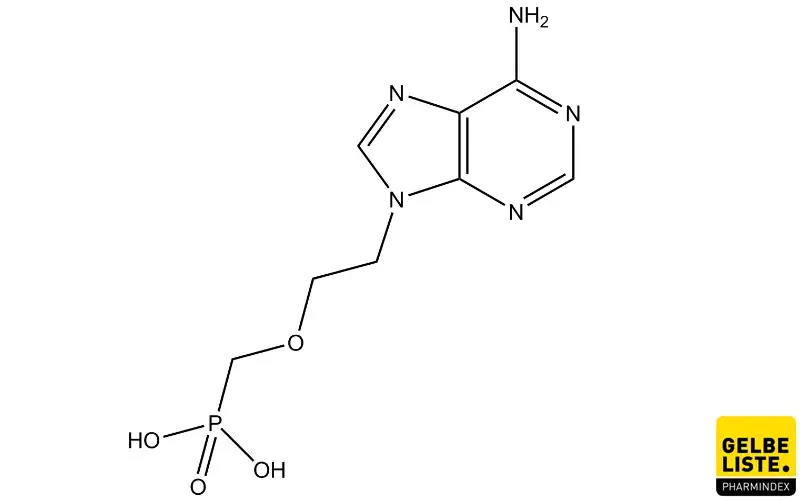
Wirkmechanismus
Adefovir ist ein azyklisches Nukleotidanalogon von Adenosinmonophosphat, das durch zelluläre Kinasen zum aktiven Metaboliten Adefovirdiphosphat phosphoryliert wird. Adefovirdiphosphat hemmt die HBV-DNA-Polymerase (reverse Transkriptase), indem es mit dem natürlichen Substrat Eoxyadenosintriphosphat konkurriert und nach dessen Einbau in virale DNA einen DNA-Kettenabbruch verursacht.
Kontraindikationen
Adefovir darf nicht angewendet werden bei Überempfindlichkeit gegen den Wirkstoff.
Alternativen
Nukleosidische Reverse-Transkriptase-Inhibitoren (NRTIs):
Nukleotidanaloge Reverse-Transkriptase-Inhibitoren (NtRTIs):
Nicht-nukleosidische Reverse-Transkriptase-Inhibitoren (NNRTI):
Wirkstoff-Informationen
- Fachinformation Hepsera
- Schiff, Eugene R., et al. "Adefovir dipivoxil therapy for lamivudine-resistant hepatitis B in pre–and post–liver transplantation patients." Hepatology 38.6 (2003): 1419-1427.










