Carboplatin
Carboplatin ist ein platinbasiertes Chemotherapeutikum aus derselben Wirkstoffgruppe wie Cisplatin und Oxaliplatin. Das Zytostatikum wird angewendet zur Behandlung von Ovarial- und Bronchialkarzinom.
Carboplatin: Übersicht

Anwendung
Carboplatin wird angewendet für die Behandlung von fortgeschrittenem epithelialem Ovarialkarzinom als:
- First-line-Therapie
- Second-line-Therapie, wenn andere Behandlungen versagt haben
Darüber hinaus ist Carboplatin indiziert zur Therapie des kleinzelligen Bronchialkarzinoms
Anwendungsart
Carboplatin wird als intravenöse Infusion über eine halbe Stunde bis 1 Stunde verabreicht.
Wirkmechanismus
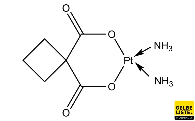
Um aktiviert zu werden, muss Carboplatin die Zellmembran passieren. Innerhalb der Zelle wird das Molekül einer Hydrolyse von 1,1-Cyclobutandicarboxylat unterzogen, wodurch es positiv geladen wird. Dadurch kann Carboplatin mit nukleophilen Molekülen innerhalb der Zelle, einschließlich DNA, RNA und Protein, interagieren und die Bildung von Platinaddukten erzeugen. Dieser Prozess erfolgt durch kovalente Bindung von Carboplatin an die N7-Stelle von Purinbasen, wodurch DNA-Protein- oder DNA-DNA-Wechselwirkungen gebildet werden.
Carboplatin besitzt weniger Nebenwirkungen als sein Vorläufer Cisplatin, was auf Unterschiede in der Geschwindigkeit der Adduktbildung mit DNA zurückzuführen sein könnte. Die Toxizitätsunterschiede sind wahrscheinlich auf die geringe Reaktivitätsrate von Carboplatin mit Nucleophilen zurückzuführen, da 1,1-Cyclobutandicarboxylat eine schlechtere Abgangsgruppe als Chlorid ist.

Pharmakokinetik
Resorption
- Die Cmax und AUC von Carboplatin steigen proportional mit zunehmender Dosis.
- Eine Dosis von 75 mg/m2 erreicht eine Cmax von 9,06 ± 0,74 µg/ml, mit einer AUC von 27,18 ± 11,28 h*µg/ml.
- Eine 450 mg/m2-Dosis erreicht eine Cmax von 55,39 ± 18,30 µg/ml mit einer AUC von 224,41 ± 69,07 h*µg/ml.
Verteilung
- Das scheinbare Verteilungsvolumen nach einer 30-minütigen intravenösen Infusion von 300-500 mg/m2 betrug 16 l.
- Carboplatin wird nicht an Plasmaproteine gebunden.
- Das freie Platin wird jedoch zu 40% irreversibel an Plasmaproteine gebunden.
Metabolisierung
- Carboplatin wird überwiegend als unveränderte Muttersubstanz ausgeschieden.
Elimination
- Carboplatin wird zu 65% innerhalb von 12 Stunden und zu 71% innerhalb von 24 Stunden ausgeschieden.
- Weitere 3-5% werden innerhalb von 24 Stunden bis 96 Stunden mit dem Urin ausgeschieden.
- Die biliäre Ausscheidung wurde nicht bestimmt.
- Carboplatin wird überwiegend als unveränderte Muttersubstanz ausgeschieden.
Halbwertzeit
- Die Verteilungshalbwertszeit von Carboplatin beträgt 1,1–2 Stunden und die Eliminationshalbwertszeit 2,6–5,9 Stunden.
Spielraum
- Die Gesamtkörper-Clearance nach einer 30-minütigen intravenösen Infusion von 300-500 mg/m2 betrug 4,4 l/h.
Dosierung
Die empfohlene Carboplatin-Dosierung bei zuvor unbehandelten erwachsenen Patienten mit normaler Nierenfunktion, d. h. Kreatinin-Clearance von > 60 ml/min, beträgt 400 mg/m2 als intravenöse Einzeldosis, die als Kurzzeitinfusion (15 bis 60 min) verabreicht wird.
Nebenwirkungen
Die häufigsten Nebenwirkungen von Carboplatin sind:
- Thrombozytopenie, Neutropenie, Leukopenie, Anämie
- Erbrechen, Übelkeit, Bauchschmerzen
- Renale Kreatinin-Clearance vermindert
- Harnstoff im Blut erhöht, alkalische Phosphatase im Blut erhöht
- Aspartataminotransferase erhöht
- abnorme Leberfunktionswerte
- Natrium, Kalium, Calcium und Magnesium im Blut vermindert
Wechselwirkungen
Mit folgenden Verbindungen kann es bei der Anwendung von Carboplatin zu Wechselwirkungen kommen:
- nephrotoxische oder ototoxische Präparate, wie Aminoglycoside, Vancomycin, Capreomycin und Diuretika: infolge der durch Carboplatin induzierten Veränderungen der renalen Clearance dieser Substanzen kann es zu verstärkter oder erhöhter Toxizität kommen.
- andere myelosuppressive Präparate: additiver Effekt
- Warfarin: Vorsicht ist angezeigt, da Fälle erhöhter INR-Werte berichtet worden sind.
- Phenytoin: Ein Abfall der Phenytoin-Serumspiegel wurde bei gleichzeitiger Verabreichung von Carboplatin und Phenytoin beobachtet. Dies kann zum Wiederauftreten von Krampfanfällen führen und eine Erhöhung der Phenytoin-Dosierungen erforderlich machen.
- Chelatbildner: Die gleichzeitige Verabreichung von Carboplatin und Chelatbildnern sollte vermieden werden, weil dies theoretisch zu einer Abschwächung der antineoplastischen Wirkung von Carboplatin führen könnte. Allerdings wurde die antineoplastische Wirkung von Carboplatin durch Diethyldithiocarbamat in Tierversuchen und bei klinischer Anwendung nicht beeinflusst.
Kontraindikationen
Unter folgenden Gegebenheiten darf Carboplatin nicht angewendet werden:
- Überempfindlichkeit gegen den Wirkstoff
- Stillzeit
- schwerwiegende Myelosuppression
- blutende Tumore
- vorbestehende schwere Nierenfunktionsstörung (mit Kreatinin-Clearance von ≤ 20 ml pro Minute
Schwangerschaft
Die Sicherheit von Carboplatin während der Schwangerschaft wurde nicht untersucht: Tierstudien haben Reproduktionstoxizität gezeigt. Carboplatin hat sich bei der Ratte als embryotoxisch und teratogen sowie in vivo und in vitro als mutagen erwiesen. Carboplatin sollte während der Schwangerschaft nicht angewendet werden, es sei denn, dies ist eindeutig erforderlich. Bei einer Anwendung von Carboplatin während der Schwangerschaft muss die Patientin über die potentielle Gefährdung des Feten aufgeklärt werden.
Stillzeit
Es ist nicht bekannt, ob Carboplatin beim Menschen in die Muttermilch übertritt. Wegen möglicher schädigender Wirkungen auf den Säugling darf während der Behandlung mit Carboplatin nicht gestillt werden.
Verkehrstüchtigkeit
Carboplatin hat keinen oder einen vernachlässigbaren Einfluss auf die Fähigkeit Auto zu fahren und Maschinen zu bedienen. Carboplatin kann jedoch Übelkeit und Erbrechen hervorrufen und dadurch indirekt die Fähigkeit Auto zu fahren und Maschinen zu bedienen beeinträchtigen.
Alternativen
Weitere Platinverbindungen sind:
Alle gehören zur Gruppe der Alkylanzien und bewirken eine Quervernetzung der DNA-Stränge.
Weitere Informationen sind der jeweiligen Fachinformation zu entnehmen.
Wirkstoff-Informationen
- Steinhilber, Schubert, Zsilavecz, Roth; Medizinische Chemie 2. Auflage 2010
- Mutschler Mutschler Arzneimittelwirkungen, Pharmakologie – Klinische Pharmakologie – Toxikologie, Begründet von Ernst Mutschler, 11. Auflage 2020, Wissenschaftliche Verlagsgesellschaft Stuttgart
- Graziele Fonseca de Sousa, Carboplatin: molecular mechanisms of action associated with chemoresistance, Review Braz. J. Pharm. Sci. 50 (4), Oct-Dec 2014
- Fachinformation Carboplatin Accord
- Drugbank: Carboplatin
Abbildung
Created with Biorender
-
CARBO-cell® 10 mg/ml Infusionslösung, Konzentrat zur Herstellung einer Infusionslösung, 5 ml
STADAPHARM GmbH
-
CARBO-cell® 10 mg/ml Infusionslösung, Konzentrat zur Herstellung einer Infusionslösung, 15 ml
STADAPHARM GmbH
-
CARBO-cell® 10 mg/ml Infusionslösung, Konzentrat zur Herstellung einer Infusionslösung, 45 ml
STADAPHARM GmbH
-
CARBO-cell® 10 mg/ml Infusionslösung, Konzentrat zur Herstellung einer Infusionslösung, 60 ml
STADAPHARM GmbH
-
Carbomedac® 10 mg/ml Konzentrat zur Herstellung einer Infusionslösung, 15 ml
medac Gesellschaft für klinische Spezialpräparate mbH
-
Carbomedac® 10 mg/ml Konzentrat zur Herstellung einer Infusionslösung, 45 ml
medac Gesellschaft für klinische Spezialpräparate mbH
-
Carbomedac® 10 mg/ml Konzentrat zur Herstellung einer Infusionslösung, 60 ml
medac Gesellschaft für klinische Spezialpräparate mbH
-
Carboplat onkovis 10 mg/ml Konzentrat zur Herstellung einer Infusionslösung, 5 ml
Onkovis GmbH
-
Carboplat onkovis 10 mg/ml Konzentrat zur Herstellung einer Infusionslösung, 15 ml
Onkovis GmbH
-
Carboplat onkovis 10 mg/ml Konzentrat zur Herstellung einer Infusionslösung, 45 ml
Onkovis GmbH
-
Carboplat onkovis 10 mg/ml Konzentrat zur Herstellung einer Infusionslösung, 60 ml
Onkovis GmbH
-
Carboplatin 10 mg/ml Accord Konzentrat zur Herstellung einer Infusionslösung, 5 ml
Accord Healthcare GmbH
-
Carboplatin 10 mg/ml Accord Konzentrat zur Herstellung einer Infusionslösung, 15 ml
Accord Healthcare GmbH
-
Carboplatin 10 mg/ml Accord Konzentrat zur Herstellung einer Infusionslösung, 45 ml
Accord Healthcare GmbH
-
Carboplatin 10 mg/ml Accord Konzentrat zur Herstellung einer Infusionslösung, 60 ml
Accord Healthcare GmbH
-
Carboplatin AqVida 10 mg/ml Konzentrat zur Herstellung einer Infusionslösung, 50 mg
AqVida GmbH
-
Carboplatin AqVida 10 mg/ml Konzentrat zur Herstellung einer Infusionslösung, 150 mg
AqVida GmbH
-
Carboplatin AqVida 10 mg/ml Konzentrat zur Herstellung einer Infusionslösung, 450 mg
AqVida GmbH
-
Carboplatin AqVida 10 mg/ml Konzentrat zur Herstellung einer Infusionslösung, 600 mg
AqVida GmbH
-
Carboplatin AqVida 10 mg/ml Konzentrat zur Herstellung einer Infusionslösung, 1000 mg
AqVida GmbH
-
Carboplatin Bendalis 10 mg/ml, Konzentrat zur Herstellung einer Infusionslösung, 5 ml
Bendalis GmbH
-
Carboplatin Bendalis 10 mg/ml, Konzentrat zur Herstellung einer Infusionslösung, 15 ml
Bendalis GmbH
-
Carboplatin Bendalis 10 mg/ml, Konzentrat zur Herstellung einer Infusionslösung, 45 ml
Bendalis GmbH
-
Carboplatin Bendalis 10 mg/ml, Konzentrat zur Herstellung einer Infusionslösung, 60 ml
Bendalis GmbH
-
Carboplatin-GRY 10 mg/ml BB Farma Konzentrat zur Herstellung einer Infusionslösung, 5 ml
BB Farma S.R.L.
-
Carboplatin-GRY 10 mg/ml BB Farma Konzentrat zur Herstellung einer Infusionslösung, 15 ml
BB Farma S.R.L.
-
Carboplatin-GRY 10 mg/ml BB Farma Konzentrat zur Herstellung einer Infusionslösung, 45 ml
BB Farma S.R.L.
-
Carboplatin-GRY 10 mg/ml BB Farma Konzentrat zur Herstellung einer Infusionslösung, 60 ml
BB Farma S.R.L.
-
Carboplatin-GRY® 10 mg/ml Konzentrat zur Herstellung einer Infusionslösung, 45 ml
Teva GmbH
-
Carboplatin-GRY® 10 mg/ml Konzentrat zur Herstellung einer Infusionslösung, 60 ml
Teva GmbH
-
Carboplatin Hikma 10 mg/ml Konzentrat zur Herstellung einer Infusionslösung, 5 ml
Hikma Pharma GmbH
-
Carboplatin Hikma 10 mg/ml Konzentrat zur Herstellung einer Infusionslösung, 15 ml
Hikma Pharma GmbH
-
Carboplatin Hikma 10 mg/ml Konzentrat zur Herstellung einer Infusionslösung, 45 ml
Hikma Pharma GmbH
-
Carboplatin Hikma 10 mg/ml Konzentrat zur Herstellung einer Infusionslösung, 60 ml
Hikma Pharma GmbH
-
Carboplatin Kabi 10 mg/ml Konzentrat zur Herstellung einer Infusionslösung, 15 ml
FRESENIUS KABI Deutschland GmbH
-
Carboplatin Kabi 10 mg/ml Konzentrat zur Herstellung einer Infusionslösung, 45 ml
FRESENIUS KABI Deutschland GmbH
-
Carboplatin Kabi 10 mg/ml Konzentrat zur Herstellung einer Infusionslösung, 60 ml
FRESENIUS KABI Deutschland GmbH
-
Carboplatin Kabi 10mg/ml Konzentrat zur Herstellung einer Infusionslösung, 5 ml
FRESENIUS KABI Deutschland GmbH
-
Carboplatin onkovis 10 mg/ml Infusionslösung, 5 ml
Onkovis GmbH
-
Carboplatin onkovis 10 mg/ml Infusionslösung, 15 ml
Onkovis GmbH
-
Carboplatin onkovis 10 mg/ml Infusionslösung, 45 ml
Onkovis GmbH
-
Carboplatin onkovis 10 mg/ml Infusionslösung, 60 ml
Onkovis GmbH
-
Neocarbo® 10 mg/ml, Konzentrat zur Herstellung einer Infusionslösung, 5 ml
Hexal AG
-
Neocarbo® 10 mg/ml, Konzentrat zur Herstellung einer Infusionslösung, 15 ml
Hexal AG
-
Neocarbo® 10 mg/ml, Konzentrat zur Herstellung einer Infusionslösung, 45 ml
Hexal AG
-
Neocarbo® 10 mg/ml, Konzentrat zur Herstellung einer Infusionslösung, 60 ml
Hexal AG










