Spiramycin
Der Wirkstoff Spiramycin gehört zur Gruppe der Makrolid-Antibiotika und kann zur Therapie verschiedener bakterieller Infektionen eingesetzt werden.
Spiramycin: Übersicht

Anwendung
Spiramycin kann zur Behandlung verschiedener bakterieller Infektionen eingesetzt werden. Besonders gegen Toxoplasmen ist es gut wirksam.
Wirkmechanismus
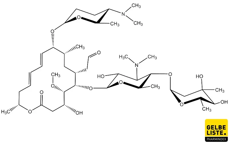
Spiramycin ist ein natürliches Makrolid und besitzt einen 16-gliedrigen Laktonring. Der Wirkstoff ist ein Gemisch aus den drei Wirkstoffen Spiramycin A, B und C. Der Wirkung kommt durch die Hemmung der Proteinbiosynthese durch Bindung an die 50s-Untereinheit des bakteriellen Ribosoms zustande. Demnach wirkt Spiramycin bakteriostatisch.
Wirkstoff-Informationen
Molare Masse:
843.05 g·mol-1
Mittlere Halbwertszeit:
ca. 5.0 H
Q0-Wert:
0.85
2 Präparate mit Spiramycin










