Oxaliplatin
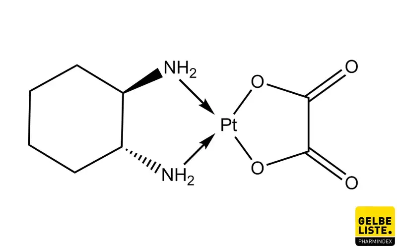
Oxaliplatin ist ein platinbasiertes Chemotherapeutikum aus derselben Wirkstoffgruppe wie Cisplatin und Carboplatin. Oxaliplatin gehört also zu den Platinderivaten, bei denen ein Platinatom komplex mit 1,2-Diaminocyclohexan („DACH“) und einer Oxalatgruppe gebunden ist. Oxaliplatin wird typischerweise in Kombination mit 5-FU und Folinsäure zur Behandlung von Darmkrebs angewendet.
Oxaliplatin: Übersicht

Anwendung
Oxaliplatin wird in Kombination mit 5-Fluorouracil (5-FU) und Folinsäure (FA) angewendet zur:
- adjuvanten Behandlung eines Kolonkarzinoms des Stadiums III (Dukes C) nach der vollständigen Entfernung des primären Tumors.
- Behandlung des metastasierenden kolorektalen Karzinoms.
Anwendungsart
Oxaliplatin ist immer vor Fluoropyrimidinen, also 5-Fluorouracil (5-FU), zu verabreichen.
Oxaliplatin wird als intravenöse Infusion über 2 bis 6 Stunden in 250 bis 500 ml einer 5%-igen Glukoselösung verabreicht, wodurch sich eine Konzentration zwischen 0,2 mg/ml und 0,70 mg/ml ergibt. 0,70 mg/ml ist die höchste Konzentration, die für Oxaliplatin in der klinischen Praxis bei Dosierungen von 85 mg/m 2 KOF eingesetzt wird.
Wirkmechanismus
Oxaliplatin unterliegt einer nichtenzymatischen Umwandlung in aktive Derivate durch Verdrängung des labilen Oxalatliganden. Es werden mehrere vorübergehend reaktive Spezies gebildet, einschließlich Monoaquo- und Diaquo-DACH-Platin, die kovalent an Makromoleküle binden. Nach Aktivierung bindet Oxaliplatin vorzugsweise an die Guanin- und Cytosin-Einheiten der DNA, was zu einer Quervernetzung der DNA führt und somit die DNA-Synthese und -Transkription hemmt.
Die Zytotoxizität von Oxaliplatin ist nicht zellzyklusspezifisch.

Pharmakokinetik
Resorption
- Die Bioverfügbarkeit ist nach intravenöser Verabreichung vollständig.
- Bei einmaliger zweistündiger intravenöser Infusion von Oxaliplatin in einer Dosis von 85 mg/m2 betrug die maximale Serumkonzentration 0,814 µg/ml und das Verteilungsvolumen 440 l.
- Am Ende einer zweistündigen Oxaliplatin-Infusion befinden sich etwa 15% des verabreichten Platins im systemischen Kreislauf.
- Die restlichen 85% werden schnell im Gewebe verteilt oder mit dem Urin ausgeschieden.
Verteilung
- Die Plasmaproteinbindung von Platin (aktiver Metabolit) ist irreversibel und beträgt mehr als 90%, hauptsächlich an Albumin und Gammaglobuline.
- Darüber hinaus bindet es auch irreversibel an Erythrozyten.
Metabolisierung
- Oxaliplatin unterliegt in physiologischen Lösungen einer nichtenzymatischen Umwandlung in aktive Derivate durch Verdrängung des labilen Oxalatliganden.
- Es werden mehrere vorübergehend reaktive Spezies gebildet, einschließlich Monoaquo- und Diaquo-DACH-Platin, die sich kovalent an Makromoleküle binden.
- Es gibt keine Hinweise auf einen durch Cytochrom P450 vermittelten Metabolismus in vitro.
Elimination
- Der Haupteliminationsweg ist die renale Ausscheidung.
- Fünf Tage nach einer einzelnen zweistündigen Oxaliplatin-Infusion entfielen etwa 54% des ausgeschiedenen Platins auf die Urinausscheidung, während die fäkale Ausscheidung nur etwa 2% ausmachte.
- Die Abnahme der Konzentration an ultrafiltrierbarem Platin nach der Verabreichung von Oxaliplatin ist dreiphasig mit zwei Verteilungsphasen: t1/2α; 0,43 Stunden und t1/2β; 16,8 Stunden.
- Darauf folgt eine lange terminale Eliminationsphase, die 391 Stunden (t1/2γ) dauert.
Dosierung
Die Dosierung von Oxaliplatin richtet sich nach der individuellen Verträglichkeit. Folgende Dosierungsempfehlungen können jedoch herangezogen werden:
Bei der adjuvanten Behandlung beträgt die empfohlene Dosis Oxaliplatin 85 mg/m2 Körperoberfläche (KOF) intravenös alle 2 Wochen über 12 Zyklen (6 Monate).
Bei der Behandlung des metastasierenden kolorektalen Karzinoms liegt die empfohlene Dosierung für Oxaliplatin bei 85 mg/m² Körperoberfläche (KOF) intravenös alle 2 Wochen, bis zur Krankheitsprogression oder inakzeptabler Toxizität.
Nebenwirkungen
Die häufigsten Nebenwirkungen von Oxaliplatin in Kombination mit 5-Fluorouracil/Folinsäure (5-FU/FS) sind:
- Diarrhö, Übelkeit, Erbrechen, Mukositis
- Neutropenie, Thrombozytopenie
- akute und dosisabhängige, kumulative periphere sensorische Neuropathie
Dosislimitierend für die Gabe von Oxaliplatin ist die sensorische Polyneuropathie, die akut oder chronisch auftreten kann.
Wechselwirkungen
Bei Patienten, die unmittelbar vor der Verabreichung von 5-Fluorouracil eine Einmalgabe von 85 mg/m2 KOF Oxaliplatin erhalten hatten, wurden keine Änderungen hinsichtlich der 5-Fluorouracil-Exposition beobachtet.
In vitro wurde keine wesentliche Verdrängung von Oxaliplatin aus der Plasma-Proteinbindung beobachtet, wenn gleichzeitig eines der im Folgenden aufgeführten Mittel verwendet wurde: Erythromycin, Salicylate, Granisetron, Paclitaxel und Natriumvalproat.
Kontraindikationen
Oxaliplatin ist kontraindiziert bei Patienten
- mit bekannter Überempfindlichkeit gegen den Wirkstoff
- in der Stillzeit
- die vor Beginn des ersten Behandlungszyklus eine Myelosuppression aufweisen, belegt durch eine Neutrophilenzahl < 2 x 109/l und/oder eine Thrombozytenzahl <100/109/l
- mit einer peripheren sensorischen Neuropathie mit Funktionseinschränkung vor Beginn des ersten Anwendungszyklus
- mit schwerer Nierenfunktionsstörung (Kreatinin-Clearance unter 30 ml/min)
Schwangerschaft
Bisher liegen keine Erfahrungen mit der Anwendung von Oxaliplatin-Verabreichung während der Schwangerschaft vor. Tierexperimentelle Studien haben eine Reproduktionstoxizität gezeigt. Die Anwendung von Oxaliplatin während der Schwangerschaft und bei Frauen im gebärfähigen Alter, die nicht verhüten, wird nicht empfohlen. Die Verabreichung von Oxaliplatin sollte nur nach sorgfältiger Aufklärung der Patientin über das Risiko für den Fötus und mit ihrer Zustimmung in Betracht gezogen werden.
Während und bis zu 4 Monate nach Ende der Behandlung bei Frauen und bis zu 6 Monate nach Ende der Behandlung bei Männern müssen geeignete Verhütungsmaßnahmen ergriffen werden.
Verkehrstüchtigkeit
Da Oxaliplatin zu Schwindel, Sehstörungen, Übelkeit und Erbrechen sowie zu sonstigen neurologischen Symptomen führen kann, die den Gang und den Gleichgewichtssinn beeinträchtigen, ist eine leichten bis mäßige Beeinträchtigungen der Verkehrstüchtigkeit und der Fähigkeit zum Bedienen von Maschinen möglich.
Patienten sollten vor der Behandlung deshalb bezüglich der möglichen Einschränkung ihrer Verkehrstüchtigkeit und der Fähigkeit zum Bedienen von Maschinen durch diese Nebenwirkungen informiert werden.
Anwendungshinweise
Neurologische Symptome
Vor jeder Verabreichung und vor jedem nachfolgenden Zyklus mit Oxaliplatin soll eine neurologische Untersuchung der Patienten durchgeführt und danach in regelmäßigen Abständen wiederholt werden.
Periphere Neuropathie
Treten neurologische Symptome (Parästhesie, Dysästhesie) auf, wird eine Anpassung der Oxaliplatin-Dosierung empfohlen.
Gastrointestinale Toxizität
Da Oxaliplatin zu Übelkeit, Erbrechen, Durchfall und Dehydratation führen kann, soll eine prophylaktische und/oder therapeutische Anwendung von Antiemetika erfolgen.
Alternativen
Weitere Platinverbindungen sind:
Alle gehören zur Gruppe der Alkylanzien und bewirken eine Quervernetzung der DNA-Stränge.
Wirkstoff-Informationen
- Drugbank: Oxaliplatin
- Fachinformation Oxaliplatin SUN
- Steinhilber, Schubert, Zsilavecz, Roth; Medizinische Chemie 2. Auflage 2010
- Mutschler Mutschler Arzneimittelwirkungen, Pharmakologie – Klinische Pharmakologie – Toxikologie, Begründet von Ernst Mutschler, 11. Auflage 2020, Wissenschaftliche Verlagsgesellschaft Stuttgart
Abbildung
Created with Biorender
-
Axiplatin 5 mg/ml Konzentrat zur Herstellung einer Infusionslösung, 10 ml
Axionovo GmbH
-
Axiplatin 5 mg/ml Konzentrat zur Herstellung einer Infusionslösung, 20 ml
Axionovo GmbH
-
Axiplatin 5 mg/ml Konzentrat zur Herstellung einer Infusionslösung, 40 ml
Axionovo GmbH
-
ELOXATIN® 5 mg/ml Konzentrat zur Herstellung einer Infusionslösung, 20 ml
Sanofi-Aventis Deutschland GmbH
-
medoxa® 5 mg/ml Konzentrat zur Herstellung einer Infusionslösung, 50 mg
medac Gesellschaft für klinische Spezialpräparate mbH
-
medoxa® 5 mg/ml Konzentrat zur Herstellung einer Infusionslösung, 100 mg
medac Gesellschaft für klinische Spezialpräparate mbH
-
medoxa® 5 mg/ml Konzentrat zur Herstellung einer Infusionslösung, 200 mg
medac Gesellschaft für klinische Spezialpräparate mbH
-
Medoxa 5 mg/ml Pulver zur Herstellung einer Infusionslösung, 50 mg
medac Gesellschaft für klinische Spezialpräparate mbH
-
Medoxa 5 mg/ml Pulver zur Herstellung einer Infusionslösung, 100 mg
medac Gesellschaft für klinische Spezialpräparate mbH
-
Medoxa 5 mg/ml Pulver zur Herstellung einer Infusionslösung, 150 mg
medac Gesellschaft für klinische Spezialpräparate mbH
-
Oxali-Bendalis 5 mg/ml Konzentrat zur Herstellung einer Infusionslösung, 50 mg/10 ml
Bendalis GmbH
-
Oxali-Bendalis 5 mg/ml Konzentrat zur Herstellung einer Infusionslösung, 100 mg/20 ml
Bendalis GmbH
-
Oxali-Bendalis 5 mg/ml Konzentrat zur Herstellung einer Infusionslösung, 200 mg/40 ml
Bendalis GmbH
-
Oxaliplatin 5 mg/ml Konzentrat zur Herstellung einer Infusionslösung, 10 ml
Seacross Pharmaceuticals Ltd.
-
Oxaliplatin 5 mg/ml Konzentrat zur Herstellung einer Infusionslösung, 20 ml
Seacross Pharmaceuticals Ltd.
-
Oxaliplatin 5 mg/ml Konzentrat zur Herstellung einer Infusionslösung, 40 ml
Seacross Pharmaceuticals Ltd.
-
Oxaliplatin Accord 5 mg/ml Konzentrat zur Herstellung einer Infusionslösung, 10 ml
Accord Healthcare GmbH
-
Oxaliplatin Accord 5 mg/ml Konzentrat zur Herstellung einer Infusionslösung, 20 ml
Accord Healthcare GmbH
-
Oxaliplatin Accord 5 mg/ml Konzentrat zur Herstellung einer Infusionslösung, 40 ml
Accord Healthcare GmbH
-
Oxaliplatin AqVida 5 mg/ml Konzentrat zur Herstellung einer Infusionslösung, 10 ml
AqVida GmbH
-
Oxaliplatin AqVida 5 mg/ml Konzentrat zur Herstellung einer Infusionslösung, 20 ml
AqVida GmbH
-
Oxaliplatin AqVida 5 mg/ml Konzentrat zur Herstellung einer Infusionslösung, 40 ml
AqVida GmbH
-
Oxaliplatin Bendalis 5 mg/ml Konzentrat zur Herstellung einer Infusionslösung, 10 ml
Bendalis GmbH
-
Oxaliplatin Bendalis 5 mg/ml Konzentrat zur Herstellung einer Infusionslösung, 20 ml
Bendalis GmbH
-
Oxaliplatin Bendalis 5 mg/ml Konzentrat zur Herstellung einer Infusionslösung, 40 ml
Bendalis GmbH
-
Oxaliplatin beta 5 mg/ml Konzentrat zur Herstellung einer Infusionslösung, 40 ml
betapharm Arzneimittel GmbH
-
Oxaliplatin-GRY 5 mg/ml BB Farma Konzentrat zur Herstellung einer Infusionslösung, 20 ml
BB Farma S.R.L.
-
Oxaliplatin-GRY 5 mg/ml BB Farma Konzentrat zur Herstellung einer Infusionslösung, 40 ml
BB Farma S.R.L.
-
Oxaliplatin-GRY 5 mg/ml BB Konzentrat zur Herstellung einer Infusionslösung, 10 ml
BB Farma S.R.L.
-
Oxaliplatin-GRY® 5 mg/ml Konzentrat zur Herstellung einer Infusionslösung, 20 ml
TEVA GmbH
-
Oxaliplatin-GRY® 5 mg/ml Konzentrat zur Herstellung einer Infusionslösung, 40 ml
TEVA GmbH
-
Oxaliplatin HEXAL® 5 mg/ml Konzentrat zur Herstellung einer Infusionslösung, 50 mg
Hexal AG
-
Oxaliplatin HEXAL® 5 mg/ml Konzentrat zur Herstellung einer Infusionslösung, 100 mg
Hexal AG
-
Oxaliplatin HEXAL® 5 mg/ml Konzentrat zur Herstellung einer Infusionslösung, 200 mg
Hexal AG
-
Oxaliplatin Hikma 5 mg/ml Konzentrat zur Herstellung einer Infusionslösung, 50 mg
Hikma Pharma GmbH
-
Oxaliplatin Hikma 5 mg/ml Konzentrat zur Herstellung einer Infusionslösung, 100 mg
Hikma Pharma GmbH
-
Oxaliplatin Hikma 5 mg/ml Konzentrat zur Herstellung einer Infusionslösung, 200 mg
Hikma Pharma GmbH
-
Oxaliplatin Kabi 5 mg/ml Konzentrat zur Herstellung einer Infusionslösung, 10 ml
FRESENIUS KABI Deutschland GmbH
-
Oxaliplatin Kabi 5 mg/ml Konzentrat zur Herstellung einer Infusionslösung, 20 ml
FRESENIUS KABI Deutschland GmbH
-
Oxaliplatin Kabi 5 mg/ml Konzentrat zur Herstellung einer Infusionslösung, 40 ml
FRESENIUS KABI Deutschland GmbH
-
Oxaliplatin onkovis 5 mg/ml Konzentrat zur Herstellung einer Infusionslösung, 10 ml
Onkovis GmbH
-
Oxaliplatin onkovis 5 mg/ml Konzentrat zur Herstellung einer Infusionslösung, 20 ml
Onkovis GmbH
-
Oxaliplatin onkovis 5 mg/ml Konzentrat zur Herstellung einer Infusionslösung, 40 ml
Onkovis GmbH
-
Oxaliplatin STADA® 5 mg/ml Konzentrat zur Herstellung einer Infusionslösung, 40 ml
STADAPHARM GmbH
-
Oxaliplatin SUN 5 mg/ml Konzentrat zur Herstellung einer Infusionslösung, 10 ml
Sun Pharmaceuticals Germany GmbH
-
Oxaliplatin SUN 5 mg/ml Konzentrat zur Herstellung einer Infusionslösung, 20 ml
Sun Pharmaceuticals Germany GmbH
-
Oxaliplatin SUN 5 mg/ml Konzentrat zur Herstellung einer Infusionslösung, 40 ml
Sun Pharmaceuticals Germany GmbH
-
Oxaliplatin Tillomed 5 mg/ml Konzentrat zur Herstellung einer Infusionslösung, 10 ml
Tillomed Pharma GmbH
-
Oxaliplatin Tillomed 5 mg/ml Konzentrat zur Herstellung einer Infusionslösung, 20 ml
Tillomed Pharma GmbH
-
Oxaliplatin Tillomed 5 mg/ml Konzentrat zur Herstellung einer Infusionslösung, 40 ml
Tillomed Pharma GmbH










